VIEE News
VIEE Director George Hornberger elected to American Academy of Arts and Sciences (AAAS)
June 2020
University Distinguished Professor George Hornberger has been elected to the American Academy of Arts & Sciences (AAAS). Founded in 1780 by John Adams and John Hancock, among others, the AAAS has previously elected luminaries and leaders such as Benjamin Franklin, Alexander Hamilton, Ralph Waldo Emerson, Martha Graham, Margaret Mead, and Martin Luther King, Jr. Present-day members collaborate on interdisciplinary, non-partisan research and outreach to inform policymaking, business endeavors, and philanthropy in six fields: Arts & Humanities, Democracy & Justice, Education, Energy & Environment, Global Affairs, and Science & Technology.
Hornberger, who serves in both the Department of Earth and Environmental Sciences and the School of Engineering’s Department of Civil and Environmental Engineering, also finds satisfaction in effecting positive change through his work. Hornberger’s research has spanned a number of specializations in his career, but has always been tied to the connections between watersheds and human behavior. He taught for many years at the University of Virginia and has served as a visiting scholar at leading institutions, including Stanford University, the University of California at Berkley, and the U.S. Geological Survey. Because of his consistently groundbreaking work, he is one of the most frequently-cited scientists in his field. He is also a member of the National Academy of Engineering and either the current or past chair of several National Academies committees.
You can read more about Professor Hornberger's distinguished career here.
New Water Resources Book Review: “excellent intro to complex subject”
March 2020
Water Resources: Science and Society, a recently published book authored by VIEE Director George Hornberger and one of his former PhD students, Debra Perrone, has been touted as “an excellent introduction to this complex subject” in a review by a prominent ecological journal.
Writing in the Bulletin of the Ecological Society of America, book reviewer Edward Johnson explains that “water, because of its importance to almost everybody, is a complicated combination of science, bureaucracy, and politics.” Johnson says Water Resources is “about the application of hydrological concepts in a nontechnical approach suitable for ecology undergraduates who want a quick introduction to water management.”
Johnson concludes his positive review with this: “If there is a recent book on Water Resources: Science and Society, this is the book. It crosses disciplinary boundaries with a clear, accurate, and unbiased approach. It asks and answers questions that most citizens and ecologists need to know.”
Water Resources: Science and Society was published by Johns Hopkins University Press, Baltimore, Maryland, USA, 2019. An overview of the book can be found here.
Book on Climate Change authored by two VU faculty members cited by Environmental Law Institute
November 2019
A book written in 2017 by two long-time VIEE-affiliated faculty members was recently recognized by the Environmental Law Institute (ELI) as one of the most influential publications addressing climate change in the past 50 years.
Vanderbilt’s Michael Vandenbergh (Law) and Jonathan Gilligan (A&S) published Beyond Politics: The Private Governance Response to Climate Change two years ago. In the book, they propose an interim strategy by private actors that could achieve “a significant fraction of the necessary reductions [in]carbon dioxide emissions equivalent to roughly 1 billion tons out of the 5.5 billion tons per year of reductions necessary over the next decade to close the Paris Gap,” the shortfall in achieving temperature goals that has been identified by the authors.
Two prominent environmental literature reviewers with a regular column in ELI’s bi-monthly journal The Environmental Forum highlight the book as one of the best to offer “a sober assessment of the climate change challenge and reasoned hope for what could be. Which is what literature should do.”
Former VIEE/CCRN Postdoctoral Fellow's hand-washing research cited in Reader's Digest article
August 2018
A recent Reader's Digest article entitled 22 Bathroom Mistakes You Never Knew You Made cited the conclusions of a research team headed by former VIEE/CCRN postdoctoral Fellow Amanda Carrico, now at the University of Colorado-Boulder.
The link is https://www.rd.com/health/bathroom-mistakes-you-never-knew-you-made/, which cites to this NatGeo story: https://news.nationalgeographic.com/news/energy/2013/12/131213-washing-hands-hot-water-wastes-energy-health/
The underlying paper is Amanda R. Carrico, Micajah Spoden, Kenneth A. Wallston & Michael P. Vandenbergh, The Environmental Cost of Misinformation: Why the Recommendation to Use Warm Water for Handwashing is Problematic, 37 Int’l J. of Consumer Studies 433 (2013) available at http://onlinelibrary.wiley.com/doi/10.1111/ijcs.12012/abstract
VIEE/Envr Eng Grad Student Thushara Gunda awarded Founder’s Medal
May 2018
VIEE/Environmental Engineering graduate student Thushara Gunda was one of this year’s top scholars from Vanderbilt University’s undergraduate and professional schools honored with a Founder’s Medal during Commencement on Friday, May 11, 2018.
Since 1877, a gold medal has been awarded to the student graduating at the top of his or her class from each of Vanderbilt’s schools. These awards are called “Founder’s Medals” in honor of university founder Cornelius Vanderbilt, who made a specific contribution to endow the awards in their first year.
Chancellor Nicholas S. Zeppos presented the Founder’s Medals to the students.
Gunda, from Alexandria, Virginia, is Founder’s Medalist for the Graduate School. She graduated with a doctor of philosophy in environmental engineering. In her graduate research, Gunda examined the complex factors influencing farmer decision-making in Sri Lanka. She enjoyed sharing her work with elementary and middle school students, and founded the annual Engineering Day event, which brings students to campus for a day of hands-on engineering activities. Gunda lives in Albuquerque, New Mexico, where she is conducting research at Sandia National Laboratories.
Front row, L to R: Morgan Lea Flanders, Richard Turner Henderson, Thushara Gunda, Brenna Danielle Gillis, Whitney Elizabeth Muhlestein
Back row, L to R: Madison Caroline Renner, Andrew Lee Sledge, Crystal Marie Lehman, Logan Elizabeth Brown, Kelsey Laine Davis.
(Joe Howell/Vanderbilt)
Newly published paper analyzes the relationship between municipal water-use and multiple environmental, social, economic, behavioural, and policy variables.
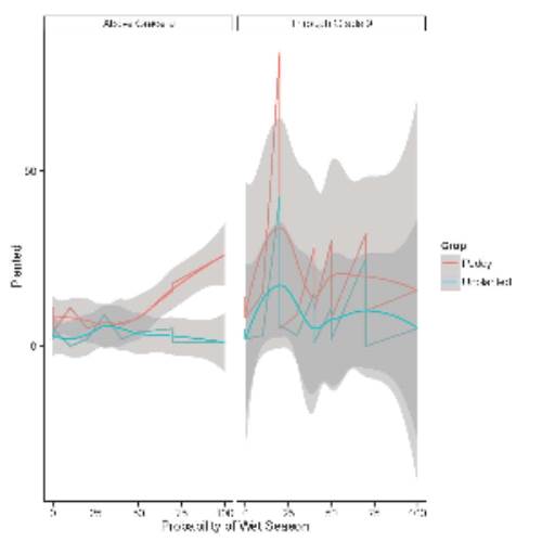
Population growth and climate change are often cited as the likely drivers of future increases in municipal water withdrawals in the U.S. Are there other important explanatory variables? Are the relationships between water-use and explanatory variables uniform across the nation? This paper explores these questions by analyzing the relationship between municipal water-use and multiple environmental, social, economic, behavioural, and policy variables in addition to population growth and changes in the local climate. These additional variables include, among others, water yield, income inequality, regional price parity, education attainment, voting habits, water price, and water conservation policies. We also explore how three different grouping variables (climate region, urban class, and primary economic sector) affect the associations between water-use and the explanatory variables. The results indicate that most important explanatory variables are average precipitation, person per household, partisan voting, water price, and regional price parity. Although, the results also suggests that the controls on water use are not uniform across the contiguous U.S., and national-scale water use assessments must account for regional variability in order to understand the present drivers of water use, and project likely changes for the future.
Citation: Worland, Scott C., Scott Steinschneider, George M. Hornberger. "Drivers of variability in public supply water withdrawals across the contiguous United States." under revision, Water Resources Research, 54. https://doi.org/10.1002/2017WR021268
VIEE researchers attend conference on "Recognizing Climate Change Risk of Dry Zone Farmers" in Sri Lanka
Small-scale farmers in developing countries are among the most vulnerable to climate change. The research project Agricultural Decision Making and Adaptation to Precipitation Trends in Sri Lanka (ADAPT-SL) aims at gaining a better understanding of how farmers in Sri Lanka, in particular, are adjusting their practices to deal with climate change effects. Since 2010, researchers from Vanderbilt University’s Institute for Energy and Environment (VIEE) have partnered with the National Building Research Organization (NBRO) in Sri Lanka to examine the connections between agricultural adaptation and climate change in the dry zone of Sri Lanka. This project will be completed by September this year and a conference was organized to share the findings of the ADAPT-SL project with relevant stakeholders and obtain their comments.
The Conference on “Recognizing Climate Change Risk of Dry Zone Farmers” was held at Hotel Ozo-Colombo 04 on 10th August 2017. Mr. S.S. Miyanawala, Secretary of the Ministry of Disaster Management attended as the Chief Guest. At the Inagural Session, Eng. (Dr.) Asiri Karunawardena, Director General, National Building Research Organisation, welcomed the participants and Prof. George Hornberger, Director, Vanderbilt Institute for Energy and Environment of the Vanderbilt University, USA delivered the keynote address on “Interdisciplinary research is essential for addressing water security”. Prof. Jonathan Gilligan, Associate Professor, Dept. of Earth and Environmental Sciences of the Vanderbilt University, addressed the gathering on the topic of “understanding and adapting to water scarcity at the community level”. For more information on the conference, visit this website: http://www.nbro.gov.lk/index.php?option=com_content&view=article&id=133:conference-on-recognizing-climate-change-risk-of-dry-zone-farmers&catid=2&Itemid=161&lang=en)
VIEE researchers develop Vanderbilt Water Conservation Index (VWCI) score for 197 cities in the US on interactive map
A VIEE research team has created an interactive map with the Vanderbilt Water Conservation Index (VWCI) score for 197 cities in the United States. Click on a city to see information about a city's respective VWCI score, absolute rank, and percentile rank. Cities with the same VWCI score were assigned the same ranks. For example, Nashville, TN: VWCI = 15, rank = 34, percentile = 47%. This indicates that 47% of cities in the dataset have a VWCI =< 15. If you would like access to the underlying data or more information about the project, please contact David Hess (david.j.hess@vanderbilt.edu). This work is supported by the National Science Foundation Award #1416964, Water Conservation and Hydrological Transitions in American Cities." Citation: Forthcoming. David J. Hess, Christopher A. Wold, Scott C. Worland, George M. Hornberger. "Measuring Urban Water Conservation Policies: Toward a Comprehensive Index." Journal of the American Water Resources Association.
VIEE team develops game tool to better understand farmers' decision-making process
Farmers around the world must balance multiple uncertainties. In Sri Lanka, farmers deal with unpredictable weather, yields, and market conditions.
The Vanderbilt Institute for Energy and Environment (VIEE) has been working for the past six years to understand Sri Lanka’s agricultural vulnerability to climate change and how farmers and policy makers can adapt to and mitigate the variety of threats and uncertainties that climate change brings. With funding from the National Science Foundation’s Water, Sustainability, and Climate program, VIEE has engaged with Sri Lankan partners (including the National Building Research Organization, a component of the Ministry of Disaster Management) in a multi-year research effort. Researchers from the University of North Florida and the University of Colorado-Boulder also participate in the project. To date, VIEE and its partners have surveyed over 1000 farmers, interviewed nearly 200 farmers, interviewed over 50 leaders of government and non-governmental agencies, and collected secondary data on weather, agriculture, and economics.
While the VIEE team has developed a good understanding of what decisions farmers are making under a variety of conditions, we have not been able to truly understand how farmers arrive at the decisions they do. Numerous factors influence farmer decision making, including soil types, weather forecasts, irrigation water availability, market conditions, seed availability, knowledge of new crops, availability of capital to pay planting costs, and so on. All these influences can make it difficult to isolate and study specific aspects of decision making.
To address this problem, several VIEE fellows used tools from behavioral economics and other disciplines to study how farmers in Sri Lanka balance market and weather considerations when deciding what to plant. The team consists of four members: Thushara Gunda (Ph.D. student in Environmental Engineering at VU), Josh Bazuin (post-doctoral fellow at VIEE, manager of the Sri Lanka project), John Nay (Ph.D. student in Engineering at VU), and Kam Leung Yeung (post-doctoral fellow in social psychology at the University of North Florida).
After reviewing other attempts to understand farmers’ balancing of uncertainties, the team realized an interactive game would give us the insights we were looking for in Sri Lanka. We designed a game to specifically test how farmers make cropping decisions when they receive seasonal rain forecasts. We wanted the game to reflect reality as much as possible but also wanted the game to be simple enough that it could be played and generate meaningful results.
Josh Bazuin and Thushara Gunda traveled to Sri Lanka in January 2016 and used focus group settings to play the game with farmers in Anuradhapura district, Sri Lanka. The game was organized in the following manner:
- Each farmer was given a box representing 1.5 acres of virtual land, cards representing seeds (either rice, soybeans, or onions) that they could plant, and poker chips representing money needed to pay for planting.
- At the start of each round, the facilitators announced a probabilistic seasonal rainfall forecast along the lines of “this season, the likelihood of there being more rain than normal is 20%, normal amounts of rain 30%, and dryer than normal 50%.” The probabilistic forecast was also presented in form of a “Wheel of Rain,” where the number of slots color-coded for a specific rain event (wet/normal/dry) was proportional to the forecast.
- The farmers were invited to consider the forecast and privately make decisions about what crops to plant by placing their seed cards on their “fields”
- After the farmers’ decisions were recorded and they paid for planting costs using poker chips, the facilitators spun the “Wheel of Rain” to determine the weather for that season. The actual rainfall amount determined the yield, which was different for each crop type.
- The farmers were paid poker chips according to their yield. Depending on their crop choices and the weather, farmers could lose money, break even, or profit.
- The process was repeated using a different, randomly selected forecast.
Within the game, farmers had to balance several considerations. Rice, for example, has its best yields when there is lots of rain. Soy needs a little less, and onions prefer drier conditions. Rice is the staple of the Sri Lankan diet, and farmers often plant some rice for family consumption. Rice is cheap to plant (though never particularly profitable) and can also be stored for a long time while the farmers wait for better market conditions. Onions, on the other hand, can be very profitable but are expensive to plant. Market conditions for onion harvests are very volatile: if too many farmers produce onions, the market price plummets, and farmers may earn little or even lose money on the crop.
We were curious about how farmer decisions were influenced by their perception of the market conditions. So we played 12 rounds of the game divided into two sets. In the first set, farmers were instructed not to consult with their neighbors about their planting decisions. In the second set, farmers were instructed to talk to their neighbors about the decision. For their participation, farmers received both a small cash award and a headlamp.
The VIEE team conducted the game with multiple focus groups with nearly 50 farmer participants. Afterwards, we spoke to the farmers about their strategies and how they prioritized risks over the course of their play. Through this process, we gained a lot of insights into farmer behavior - some farmers said that they just considered the weather and some just looked at the market. Then there were those who used a combination of the two: one farmer shared with us that he decides which crop to plant based on the weather but then he uses the market conditions to figure out how much of that crop to plant.
Farmers reacted quite well to the game. There had been a lot of doubt among both the VIEE associates and our Sri Lankan partners that farmers would easily understand probabilistic weather forecasts or the rules of the game. To our surprise, the farmers almost immediately understood how to play the game. When we asked farmers what they thought of their experience as they were leaving, many said they had fun and they also learned new ways of thinking about the tradeoffs between weather and the market.
The VIEE team and our local partners came away encouraged that this pilot attempt at using games and simulations to both understand decision making and to potentially educate farmers was a success. We left the game pieces in Sri Lanka along with a list of ideas on ways the game can be adapted to better understand farmers’ interests in purchasing crop insurance or trying out new technologies.
Currently, we are processing results from the game; our preliminary analysis shows that when farmers had more education, their decisions varied a lot more.
We are also developing a model that will link these findings with other information we have on the study area. Our goal is to conduct some scenario analyses to understand how farmer decisions can be impacted by a variety of factors. We will eventually share our results with key decision makers like the Department of Agriculture.
Acknowledgements
The game was tested by Vanderbilt-based colleagues in the Global Feminisms Collaborative, the ADAPT-SL team, and VIEE faculty and students. The Design Studio in the School of Engineering and their staff provided assistance in developing some of the game pieces. The Curb Center for Art and Public Policy provided materials. Both the Curb Center (through the Curb Center fellowship) and the Graduate School (through a Dissertation Enhancement Grant), awarded to Thushara Gunda, provided partial funding for this work. This work is also based on support from Thushara Gunda’s National Science Foundation Graduate Research Fellowship Program under Grant No. DGE-0909667. The remainder of the funding came from the U.S. National Science Foundation, award number NSF-EAR 1204685. We are also grateful for staff at the National Building Research Organisation in Sri Lanka, who both piloted the game with us, provided useful feedback, and discovered new skills as game facilitators in the field.
Thushara Gunda, VIEE/CEE graduate student, earns first place in fourth annual Three Minute Thesis competition
The event was the finals of the fourth annual Three Minute Thesis (3MT) competition held last Friday at the Student Life Center that pitted Vanderbilt graduate students against one another in an unusual test of communications skills: summarizing their 80,000-word doctoral theses in terms that members of the public can understand in less than three minutes with a single PowerPoint slide.
Topics ranged from giving nanoparticles the aquatic skills of an Olympic swimmer so they can deliver anti-cancer drugs more effectively…to using game theory to help Sri Lankan farmers decide what crops to plant…to developing an ultrasonic Trojan horse to destroy tumors…to using blue light as an alternative to antibiotics in controlling bacterial infections.
Gunda in civil and environmental engineering, whose presentation, “Risky Business: using games to understand farmer decisions in Sri Lanka,” described how she assembled an interdisciplinary team of researchers who used game theory to develop a board game that captures the important factors that Sri Lankan farmers must consider when deciding to plant
rice or other crops each season. By observing farmers playing this game, Gunda and her colleagues have gathered enough information to develop a computer model that they hope will allow them to come up with better crop selection strategies.
For more on the story, click here.
Text mining tech tools aid VIEE researchers Gilligan and Nay
October 2015
VIEE faculty member Jonathan Gilligan, associate professor of earth and environmental sciences, and graduate student John Nay, working under a National Science Foundation grant to study water conservation in U.S. cities, are using the VU library’s Television News Archive and the new LexisNexis API to complete a comprehensive study of newspaper and television coverage of water issues.
“We have access to hundreds of thousands of television news stories and millions of newspaper articles,” says Gilligan, who serves as associate director for research, Vanderbilt Climate Change Research Network. “Advances in topic modeling and sentiment analysis will allow us to study patterns and trends in news coverage more comprehensively than we could if we had to search for and read each article individually. Our tools also will complement traditional search tools in helping researchers identify specific articles to read closely. While our work focuses on environmental and water issues, the topic and sentiment database we will generate will cover a broad range of topics over the past several decades and is likely to be useful to researchers in all disciplines.”
Thushara Gunda, VIEE graduate student, spends the summer at Sandia National Laboratory in New Mexico studying irrigation systems
September 2015
Thushara Gunda spent the summer at Sandia National Laboratory in Albuquerque, NM. As part of a Coupled Natural and Human Systems project led by New Mexico State University, she studied acequias, traditional irrigation systems present throughout the Southwest. Her specific contribution to the project involved the development of a hydrological model for an upland forest near Valdez, NM. The hydrological model was built on a system dynamics platform and simulates changes in runoff due to climate change and related disturbances such as wildfires and bark beetles. The runoff outputs from Thushara’s model are one of the inputs into the downstream acequia community model, which assesses impacts to the community from myriad stressors such as climate change and urbanization.
VIEE/CCRN to Co-Host Workshop May 18-19 at VU Law School -- The Clean Power Plan: Health, Energy Demand and Economic Effects
May 2015
Are you looking for more in-depth information on the effects of the Administration’s proposed Clean Power Plan? Make plans to attend The Clean Power Plan workshop May 18-19 at VU Law School.
Hear from policymakers, scholars and practitioners from several disciplines as they explore different perspectives on the health, energy demand and economic effects of EPA’s developing Clean Power Plan.
If you are traveling to Nashville for the event, you may wish to reserve a nearby hotel room at a discounted rate. Rooms are available at both the Home2 Suites By Hilton and Hilton Garden Inn Nashville Vanderbilt.
There will be an informal reception on-site on Monday evening following that day's final panel.
VIEE/CCRN Research Team’s Article in Nature Climate Change Cited in Washington Post
March 2015
A Washington Post article published February 27 cited a VIEE/CCRN research team’s conclusions that changing household energy behavior can have significant effects on U.S. carbon emissions.
The study, published in Nature Climate Change last month, is the basis for the article’s assertion that energy efficiency initiatives promoted at local, state and federal levels can greatly reduce carbon emissions just by altering human behavior.
VIEE/CCRN’s research team found that some estimates for how much energy could be saved by energy efficiency initiatives — including programs that try to change people’s behavior directly — run as high as 23 percent of total U.S. electricity demand. The Post article notes that one of the biggest changes in the structure of our energy system in a long time — the rollout of 50 million smart meters, with more on the way — has thus far failed to achieve its full energy-savings potential due to a failure to take human and behavioral factors into account. Simply providing people with smart meter data in real time in a form that helps them understand how much power they’re using and how much it’s costing them could inspire many behavioral changes that could add up to big energy savings — and big emissions cuts.
It’s in this context that the VIEE/CCRN team points out the opportunity for states to include carefully designed, efficiency-focused, electricity demand-reduction initiatives in state plans submitted to comply with EPA’s new Clean Power Plan. The EPA’s inclusion of demand reduction as a compliance building block, they write, is a “rare move” and represents a major new development — or, it could. Behavioral programs are “often viewed as minor adjuncts to more traditional regulatory actions, not as a core part of the response to energy and climate challenges,” they note. The evidence suggests there are many reasons that should change.
The VIEE/Climate Change Research Network team that co-authored the paper includes former VIEE Research Asst Prof Amanda Carrico, Vanderbilt Law School’s Michael Vandenbergh, National Research Council’s Paul Stern, and Michigan State University Dept of Sociology’s Paul Dietz.
Thushara Gunda, VIEE graduate student, visits her India homeland's rice farming region for drought research
February 2015
Thushara Gunda, a Vanderbilt PhD student in environmental engineering, is currently featured in a VU School of Engineering online article about her recent visit to her homeland of India to further research on how south Asian rice farmers can adapt to drought and produce bigger yields.
Gunda's tuition and her overseas work in water sustainability are funded by the National Science Foundation. Her research is through a project called ADAPT-SL -- Agricultural Decision-Making and Adaptation to Precipitation Trends in Sri Lanka. Gunda is part of a VIEE team which studies Sri Lanka rice farmers and includes physical scientists, social scientists, ethnographers and behavioral economists.
As an island nation with both strong economic and cultural attachments to growing rice and self-contained water resources, Sri Lanka was the perfect microcosm to study issues that affect rice farmers worldwide.
Interested to see whether the Sri Lanka findings would repeat themselves in other Asian countries, Gunda offered to fund her own research in a a more familiar place: South India, specifically, the village of Kodurapadu in the state of Andhra Pradesh. She only asked for a single plane ticket and, in return, she filled the roles of an entire research team for two weeks in January in her hometown.
David Hess named to endowed chair
February 2015
Congratulations to David Hess, Associate Director of VIEE, who was one of six Vanderbilt University faculty members named to endowed chairs Wednesday, Jan. 28, at the Student Life Center.
David was named the James Thornton Fant Chair in Sustainability Studies. He is also a Professor of Sociology and Director, Program on Environmental and Sustainability Studies.
VIEE Research Team’s 2009 Vehicle Idling Study Cited in Washington Post Wonkblog Aimed at Dispelling a Winter Energy Myth
January 2015
A Washington Post’s Wonkblog posting on December 29, 2014, cited a VIEE research team’s findings in a published 2009 paper that debunks the myth that cars need to idle a few minutes before driving in the winter.
The study, published in “Energy Policy” in August 2009, is the basis for the Wonkblog’s argument that idling your vehicle in the winter not only is unnecessary, but also wastes fuel and contributes to pollution and greenhouse gas emissions.
VIEE’s research team found that on average, Americans thought they should idle for over 5 minutes before driving when temperatures were below 32 degrees.
The study also attempted to calculate the consequences of idling. The researchers found that, overall, all types of vehicle idling -- idling in winter, idling while waiting for someone or something, and idling in traffic -- contribute a staggering 1.6 percent of all U.S. greenhouse gas emissions.
That number is "almost double the total emissions for the iron and steel manufacturing industry," the paper notes. (The Wonkblog notes that since the study was published vehicle fuel economy has improved, and new vehicle greenhouse gas emissions have declined, thanks to new regulations. So especially for new vehicles, this may somewhat blunt the overall effects of idling.)
The Wonkblog agreed with the study that idling in winter thus has no benefit to your car (unless it is old enough to have a carburetor instead of fuel injectors; even then, the benefits of idling are minimal). Auto experts today say that you should warm up the car no more than 30 seconds before you start driving in winter. "The engine will warm up faster being driven," the EPA and DOE explain. Indeed, it is better to turn your engine off and start it again than to leave it idling. (As many readers pointed out after the wonkblog post was first published, it's always important to be careful driving in winter, and clear your windshield of any ice.)
The VIEE/Climate Change Research Network team that co-authored the paper includes former VIEE Research Asst Prof Amanda Carrico, OGSM’s Paul Padgett, School of Law’s Michael Vandenbergh, Dept of Earth & Environmental Science’s Jonathan Gilligan, and School of Nursing’s Kenneth Wallston.
Thushara Gunda, VIEE graduate student, featured in Diversity/Careers in Engineering & Information Technology article
November 2014
VIEE graduate student Thushara Gunda was recently featured in an article in Diversity/Careers in Engineering & Information Technology. She was profiled as an example of the way some colleges and universities are working to diversify their graduate-level engineering programs. The article extols the benefit of enrolling a broad spectrum of male and female graduate students from a variety of backgrounds, school deans and diversity leaders believe.
Diversity, university representatives say, enhances innovation in the research and development done at their facilities. And research attracts grad school students who are looking to do cutting-edge work in their chosen fields and find solutions to the world’s pressing problems.
VIEE Postdoctoral Fellow Kaitlin Raimi has fracking “belief superiority” study referenced in Washington Post Wonkblog.
November 2014
The Washington Post Wonkblog has posted an article about a study co-authored by VIEE's Kaitlin Raimi about belief superiority in the fracking debate.
In a new study just out in the Journal of Environmental Psychology, VIEE’s Kaitlin Raimi of Vanderbilt University and Mark Leary of Duke show that on both sides of the fracking debate, those with more extreme views (either in favor of fracking, or against it) have a higher level of "belief superiority," meaning that they think their views are more “correct” than the views held by other people.
"What we show is that when people feel superior about their views on fracking, that people seem to derogate their opponent -- it leads them to become even more certain in their views," says Raimi.
In the study, belief superiority was measured by asking participants to rate, on a scale from 1 to 5, how correct their beliefs were compared with the beliefs held by others. Individuals were asked their views on 10 separate environmental issues (climate change, offshore drilling, fracking, and numerous others), and then about their belief superiority on each of them. Then the study drilled down on the fracking issue in particular, asking the participants -- 96 individual living in Raleigh, North Carolina, where the fracking debate has been heating up -- to read an article about fracking in their state containing language that either supported or opposed the practice.
VIEE/Envr Eng Grad Student Debra Perrone awarded Founder’s Medal
May 2014
VIEE/Environmental Engineering graduate student Debra Perrone was one of this year’s top scholars from Vanderbilt University’s undergraduate and professional schools honored with a Founder’s Medal during Commencement on Friday, May 9, 2014.
Since 1877, a gold medal has been awarded to the student graduating at the top of his or her class from each of Vanderbilt’s schools. These awards are called “Founder’s Medals” in honor of university founder Cornelius Vanderbilt, who made a specific contribution to endow the awards in their first year.
Chancellor Nicholas S. Zeppos presented the Founder’s Medals to the students.
Perrone, from Fair Lawn, New Jersey, Founder’s Medalist for the Graduate School, graduated with a Ph.D. in environmental engineering. Perrone’s research on water resources was awarded an Environmental Protection Agency fellowship, and she served as fellow at Vanderbilt Institute for Energy and Environment. She was awarded two international fellowships allowing her to live abroad: from the International Institute for Applied Systems Analysis in Vienna, and from the National Science Foundation Summer Institute in Singapore. Perrone has taken a postdoctoral scholar position with the Woods Institute at Stanford University.
VIEE’s Michael Vandenbergh Named to Endowed Chair
May 2014
VIEE/School of Law faculty member Michael Vandenbergh was one of eleven VU faculty members recently named to an endowed chair.
Vandenbergh was named to the David Daniels Allen Distinguished Chair of Law at a ceremony April 30. He is the co-director of the Energy, Environment and Land Use Program and director of the Climate Change Research Network.
Vandenbergh is a leading scholar in environmental and energy law whose research explores the relationship between formal legal regulation and informal social regulation of individual and corporate behavior. His work with Vanderbilt’s Climate Change Research Network involves interdisciplinary teams that focus on the reduction of carbon emissions from the individual and household sector.
Before joining Vanderbilt’s law faculty, Vandenbergh was a partner at a national law firm in Washington, D.C. He served as Chief of Staff of the U.S. Environmental Protection Agency from 1993-95.
A recipient of the Hall-Hartman Teaching Award, Vandenbergh teaches courses in environmental law, energy, and property. Vandenbergh has been a Visiting Professor at the University of Chicago Law School and at Harvard Law School.
For more details, you may visit this site:
VIEE/Envr Engr Grad Students selected to attend Summer Institute on Global Food Security
April 2014
VIEE/Environmental Engineering graduate students Emily Burchfield and Thushara Gunda have been selected to attend the U.S. Borlaug Summer Institute on Global Food Security June 8-20, 2014, at Purdue University. They were two of 30 selected nationwide to attend this learning program for graduate students who are interested in developing a holistic understanding of the conceptual challenges around global food security. This introduction to global food security is intended to provide students with a working knowledge of these issues with a focus on cross-disciplinary problem-solving of real-world development challenges.
“I am particularly excited about connecting with students from around the country who are studying food security,” Burchfield said. “Their perspectives will be invaluable. We will also attend lectures given by policy makers, researchers, and activists who strive to promote global food security through their work. It will be wonderful to learn from them and apply what we learn to our research at Vanderbilt!”
The team of instructors (from Purdue and other institutions) includes faculty, practitioners, and policy makers who have expertise across key disciplines in the natural, social, and health sciences and engineering; on-the-ground development experience; and experience with integrated approaches to problem solving. The program will include lectures, case studies, small group discussions, and near-by field trips.
"In addition to developing a holistic understanding of global food security at the Borlaug Summer Institute, I am looking forward to in-depth conversations with fellow attendees,” Gunda said. “Given the diverse backgrounds (e.g., genetics, economics, and planning) of the institute attendees and experience of the instructors, I am excited about exploring global food security from multiple perspectives."
More information on the U.S. Borlaug Summer Institute on Global Food Security can be found here: http://www.purdue.edu/discoverypark/food/borlaugfellows/summer-institute/
Burchfield (left) and Gunda are pictured below.
VIEE/Envr Engr Grad Student receives NSF graduate fellowship
April 2014VIEE/Environmental Engineering graduate student Chelsea Peters was one of twelve current engineering graduate students who received a graduate research fellowship from the National Science Foundation, which announced April 1 the 2014 class of fellows.
The NSF Graduate Research Fellowship Program (GRFP) provides fellowships to individuals selected early in their graduate careers based on their demonstrated potential for significant achievements in science and engineering.
Support is provided by the program for graduate study that is in a field within NSF’s mission and leads to a research-based master’s or doctoral degree at accredited U.S. institutions. The fellowships, valued at more than $130,000 each, are awarded directly to students and provide three years of financial support within a five-year fellowship period. That support includes $32,000 per year for three years for graduate study and $12,000 allowance annually for three years of tuition.
“The NSF Graduate Fellowship enables me to purse a PhD, while allowing research flexibility and creativity. I am grateful for the funding security and thrilled by the opportunities this fellowship will provide during my time at Vanderbilt,” Peters said.
NSF received more than 14,000 applications for the 2014 competition and made 2,000 fellowship award offers. Among the 2,000 awardees, 1,069 are women, 382 are from underrepresented minority groups, 55 are persons with disabilities, and 37 are veterans. The fellows in the 2014 class come from 442 baccalaureate institutions, 58 more than in 2010, when the program first began awarding 2,000 fellowships each year.
GRFP is a critical program in NSF’s overall strategy in developing the globally-engaged workforce necessary to ensure America’s leadership in advancing science and engineering research and innovation.
According to the NSF, “As the oldest graduate fellowship of its kind, the Graduate Research Fellowship Program has a long history of selecting recipients who achieve high levels of success in their future academic and professional careers.” Previous fellows include former U.S. Secretary of Energy Steven Chu, Google founder Sergey Brin, and many Nobel Prize winners.
Chelsea Peters is pictured below.
VIEE Grad Student attends AAAS Workshop in DC
April 2014VIEE/CEE graduate student Thushara Gunda was one of two Vanderbilt student representatives at the pilot "Catalyzing Advocacy in Science and Engineering" workshop hosted by the American Association for the Advancement of Science (AAAS) Mar 31 – Apr 2 in Washington DC.
This workshop was specifically oriented towards undergraduate and graduate scientist and engineering students who have an interest in understanding "Science Policy." There were workshop attendees from 25 other institutions around the country.
The presenters at the workshop ranged from Congressional staff members, federal agency staff, lobbyists and advocates, to associations involved in science policy.
"Meeting the various players on Capitol Hill and seeing how they interact with each other (notably their professionalism and their belief in the system) is really inspiring and has motivated me to become more involved in the policymaking process," Gunda said.
The workshop sessions emphasized the "Policy for Science" component of "Science Policy." Specifically, they gave an overview of US Science & Tech policy process, described the federal budget process and congress's budget and appropriations process, as well as provided advice on how to interact with staff members on Capitol Hill.
On the last day of the workshop, Gunda and VU Dept of Pathology, Microbiology & Immunology grad student Nicole Sexton met with staff members from TN Congressmen offices. They shared their individual research activities, outlined the importance of federal funding for their research, and got advice and feedback regarding the role of graduate students at the Federal policymaking level.
Below is a photo of Gunda (r) and Sexton at the US Capitol while they were attending the AAAS Workshop
VIEE Hosts AGU Session on Water, Energy & Food in San Francisco Annual Meeting
December 11, 2013Debra Perrone, John Jacobi, George Hornberger, and Amanda Carrico convened a union session at the Fall 2013 American Geophysical Union (AGU) meeting. The meeting was held in San Francisco from 9-13 December. The AGU meeting is an international conference, bringing together more than 20,000 scientists and environmental science policy advocates.
Session Title: Water, Energy, and Food Security in a Changing World: Finding Solutions Through Integration of Physical and Social Sciences
Session Abstract: Population growth and climate change highlight the critical feedbacks among water, energy, and food security. Only collaboration among disciplines can answer the tough questions related to water, energy, and food interactions. This session explores the integration of the physical, social, and economic sciences that is needed to gain a full picture of the water-energy-food nexus in a changing world. How do the resources interact? How do social, cultural, and behavioral norms influence the nexus? What is the role of economics in maintaining resource security? Participants will include scholars from multiple disciplines working on various aspects of this complex problem.
VIEE Post Doc Article Attracts National Media Attention
Kaitlin Toner, a VIEE postdoctoral fellow specializing in psychology research, recently had an article she co-authored published online in Psychological Science , a journal of the Association for Psychological Science.
The research determined that ideologues on both ends of the political spectrum are equally likely to believe their opinions are superior to others’, but their feelings of superiority emerge for distinct political issues.
Furthermore, these findings suggest that, while people with moderate attitudes tend to be more evenhanded, those on the extreme ends of the political spectrum seem especially convinced that their viewpoints are the only “correct” ones.
Because the timing of the article’s publication just happened to coincide with the federal government shutdown impasse, her research has attracted interest from some major media outlets, such as CNN, Time magazine and National Public Radio, to name a few.
“Given the stalemate in Washington, understanding why people become so entrenched in their views — even when there is not an objectively correct answer — is more important than ever,” says Toner, who conducted the research as a doctoral student at Duke University.
Toner and her colleagues at Duke were struck by the blatant biases they saw in media coverage of the 2012 presidential election:
“Pundits, politicians, and even commentators on online news articles seemed so confident that their own views were better than everyone else’s,” says Toner. “Logic would argue that they couldn’t all be right 100% of the time, so we wondered what was making them so sure of the superiority of their opinions.”
The researchers had over 500 participants complete several questionnaires addressing their viewpoints on nine controversial political issues: health care, illegal immigration, abortion, government aid to the needy, voter ID laws, income tax rates, torture tactics, affirmative action, and the role of religion in policymaking.
Participants then indicated how correct their opinions were relative to other people’s beliefs on each issue, ranging from “no more correct than other viewpoints” to “totally correct — mine is the only correct view.”
Overall, participants who were more conservative politically showed higher levels of dogmatism, a personality trait that describes people who are inflexible in their ideological beliefs. This finding replicates prior research and supports what scientists call the “rigidity-of-the-right” hypothesis.
But the data on belief superiority revealed a more nuanced picture.
Conservatives and liberals reported that their view was the only correct view on the same number of issues, though the issues they felt most superior about differed between the two groups. Conservatives felt most superior about voter ID laws, tax rates, and affirmative action, whereas liberals were most convinced of the superiority of their views on government welfare programs, the use of torture on terrorists, and the role of religion in policymaking.
“We assumed that there would probably be some issues for which liberals felt more superior than conservatives and vice versa, but we didn’t anticipate that the numbers of these issues would be so evenly distributed,” says Toner.
VIEE Post Doc Receives PJSA Grad Student Thesis Award
Joshua Bazuin, a VIEE postdoctoral fellow, was recently selected as a PJSA (Peace & Justice Studies Association) Graduate Student Thesis Award winner for 2013 for his PhD thesis entitled “Religion in the Remaking of Rwanda after Genocide”.
Joshua’s research explored how religion played an important role in Rwanda’s 1994 genocide, and how it is also playing a significant role in Rwanda’s recovery. Using a mixed methods approach, his dissertation inquired about the role of religious beliefs, religious social contacts, and religious organizations in promoting reconciliation after the genocide.
The PJSA is a non-profit organization that was formed in 2001 as a result of a merger of the Consortium on Peace research, Education and Development (COPRED) and the Peace Studies Association.
Joshua received his PhD from Vanderbilt’s Peabody College Department of Human and Organizational Development. His advisor was Assoc Prof James Fraser.
Two VIEE Graduate Students Receive NSF Awards
posted 9 April 2013
Thushara Gunda: NSF GRF
Debra Perrone: NSF EAPSI
Collaborative Report on Climate Change and Tennessee Presented at Vanderbilt
posted 17 September 2012Vanderbilt University, Oak Ridge National Laboratory, University of Tennessee at Knoxville, University of Memphis and the Tennessee Department of Health all contributed to a new report focused on the challenges and opportunities that face Tennessee under a changing climate. The results of the report, Sustaining Tennessee in the Face of Climate Change: Grand Challenges and Great Opportunities, were presented 11 September at Vanderbilt University. Read more.
Request a full copy of the report from Sustainable Tennessee.
New College of Arts and Science Program in Environmental and Sustainability Studies
posted 14 September 2012The College of Arts and Science at Vanderbilt University has just launched a new program. Undergraduates can now minor in Environmental and Sustainability Studies.
VIEE Awarded NSF Grant
posted 10 September 2012Interdisciplinary study of agricultural adaptation to water scarcity in Sri Lanka’s Mahaweli River Watershed
Principal investigators include George Hornberger, director of VIEE; James Fraser, Human and Organizational Development; Jonathan Gilligan, Earth and Environmental Sciences; Amanda Carrico, VIEE and the Vanderbilt Climate Change Research Network; Lanka Thabrew, VIEE; and Heather Truelove, assistant professor at the University of North Florida. Full list of team members.
VIEE to Lead AGU Session on Water Security
posted 15 June 2012Session focused on bridging the gap between science and policy
Debra Perrone and Leslie Lyons Duncan, VIEE PhD Candidates, and Antonia Rosati, NARCCAP Community Liaison, will be convening a Public Affairs session at the Fall 2012 American Geophysical Union (AGU) meeting. The meeting will be held in San Francisco from 3-7 December. The AGU meeting is an international conference, bringing together nearly 20,000 scientists and environmental science policy advocates. The session focuses on water security.
Session Abstract: Population 7 billion and growing-Water Security in a Changing Climate . With predictions of Earth's climate suggesting non-stationarity, water supply becomes less predictable. Water demands are multifaceted and multidimensional; competition is influenced by population, culture, technology and economics, and changes over space and time. These inherent complexities, combined with broad and often conflicting stakeholder interests, create challenges for decision makers. To complicate matters, water boundaries rarely align with political boundaries and, consequentially, local decisions can affect other regions or countries (e.g., Ganges-Brahmaputra and Colorado River Basins). This session intends to bring together physical, social and political scientists to discuss a sustainable path forward. Submit Abstract to Session PA012.
VIEE Director George Hornberger and wife Joan attend Summer Lawn Event at the White House
posted 7 June 2012
President Obama and the First Lady invited all Presidential appointees to a summer event on the South Lawn of the White House on 5 June 2012 in appreciation for service to the Nation. George and Joan Hornberger attended the event.
|
|
George has been a member of the Nuclear Waste Technical Review Board, a Presidential appointment, since 2004. The U.S. Nuclear Waste Technical Review Board was established in the 1987 amendments to the Nuclear Waste Policy Act (NWPA). The Board evaluates the technical validity of Department of Energy activities related to implementing the NWPA and provides objective expert advice on nuclear waste management to Congress and the Secretary of Energy. The Board is composed of 11 members who serve on a part-time basis. Board members are appointed by the President from a list of candidates submitted by the National Academy of Sciences. By law, nominees to the Board are selected solely on the basis of distinguished professional service and are eminent in a field of science or engineering, including environmental sciences. |
VIEE Makes "Top 25 Hottest Articles" -- Twice!
posted 27 March 2012
Amanda Carrico, a research assistant professor affiliated with VIEE and CCRN, and Heather Truelove, a postdoctoral fellow with VIEE, CCRN, and CRESP, made the "Top 25 Hottest Articles" of 2011 for the Journal of Environmental Psychology. Dr. Carrico's paper, which made #19 on the list, focuses on energy conservation in the work place. Dr. Truelove's publication discusses how outdoor temperatures can impact views on climate change, ranking #24 on the list.
VIEE in VIEnna!
posted 19 March 2012
Debra Perrone, a VIEE graduate student, was selected to participate in the Young Scientists Summer Program (YSSP) affiliated with the International Institute for Applied Systems Analysis (IIASA) in Vienna, Austria. The YSSP is a three month appointment that offers interdisciplinary and collaborative research opportunities for young scientists whose interests are focused on global environmental, economic, and social change. Debra will be joining 53 other graduate students, representing a total of 29 countries. Read more.
National Academies Report Published on Opportunities in the Hydrologic Sciences
posted 15 February 2012
George Hornberger, the director of VIEE, served as the chair of the National Research Council's Committee on Challenges and Opportunities in the Hydrologic Sciences. The committee published a report that explores emerging issues, identifies current research needs, and highlights opportunities to advance the Hydrologic Sciences. Read the report or watch a video on the report.
VIEE work used in policymaking!
posted 31 January 2012
A paper published in 2009 by Carrico et al., Costly Myths: An analysis of idling beliefs and behavior in personal motor vehicles, has been cited by the Toronto Board of Public Health in a recent report. The report served as the basis for reforming Toronto's anti-idling bylaw in 2010; it sets a limit of one minute of idling per 60 minutes, compared to three minutes of idling per 60 minutes in the 1998 bylaw. This work is just one example of how our research is being used in policymaking! The research was supported by Vanderbilt's Climate Change Research Network (CCRN) and is co-authored by CCRN affiliated researchers Amanda Carrico, Paul Padgett, Michael Vandenbergh, Jonathan Gilligan and Kenneth Wallston.
Two Sessions are Chaired by VIEE at Fall 2011 AGU Conference
posted 13 December 2011
This year's Fall American Geophysical Union (AGU) meeting was held in San Francisco from 5-9 December. The AGU meeting is an international conference, bringing together over 18,000 scientists and environmental science policy advocates. Yi Mei convened a Hydrology session with Stephen Sebestyen from the USDA. The Hydrology session focused on coupled hydrological and dissolved organic matter biogeochemical processes at multiple scales. Debra Perrone and George Hornberger convened a Public Affairs session. The session -- Population 7 Billion and Growing: Food, Water, and Energy Security in a Changing Climate -- focused on bridging the gap between science and policy.
Janey Camp Awarded 2011 ASCE Young Engineer Award for Tennessee Section
posted 27 November 2011
|
The Young Engineer Award was instituted by the Tennessee Section of ASCE in 1988. It is presented annually to a younger member of the Tennessee Section of ASCE who has made definite contributions to the Society at the National, Section, or Branch levels. A Young Engineer is one who is 35 years of age or less on February 1 in the year to the award. (Left photo: Janey Camp.)
|
VIEE goes to Capitol Hill! EPA STAR Fellowship Conference 2011
posted 1 October 2011
|
|
VIEE graduate student, Debra Perrone, attended the 2011 EPA STAR Fellowship Conference in Washington DC on 19-20 September. The conference brought together all current fellows from across the country for two days of professional development and public policy sessions. Fellows also had the opportunity to travel to Capitol Hill and schedule appointments with members of Congress. (Left photo: Debra Perrone (second from left) and friends (fellows from Penn State) on Capitol Hill.) |
VIEE brings GIS training to local high schools
posted 17 August 2011Research assistant professor of civil and environmental engineering, Janey Camp, has received funding from Metro Nashville Public Schools (MNPS) to implement a Geographic Information Systems (GIS) pilot project. The project will provide GIS training to teachers at Stratford, Glencliff and Hillsboro high schools. Read More.
VIEE hosts two-day summit: “Climate Change and Freight Transportation Infrastructure – When and How to Adapt?"
posted 17 August 2011Summit brings together industry, government, and academic officials
On June 2nd and 3rd, 2011, invited representatives of the freight transportation sector, government leaders, academics, insurers, consultants and climate scientists convened at Vanderbilt University to discuss when and how the freight transportation industry should adapt to climate change. The focus of this summit was on the performance of critical freight transportation infrastructure and operations in the face of a changing climate.
Both informative plenary sessions and small-group breakout sessions were used to facilitate discussions on
- what climate change thresholds will prompt freight transportation adaptation,
- what types of adaptation strategies would be most responsive to societal needs under these circumstances, and
- what must be done now to plan and prepare for the expected changes?
The summit discussions identified several reasons for the current lack of action focused on adaptation as opposed to mitigation including
- uncertainty in the timing and magnitude of climate change;
- insufficient knowledge of how these changes will impact the performance of critical infrastructure systems
- the succession of short-term crises that deflect attention and resources; and
- lack of political leadership.
A white paper summarizing the summit findings will be coming out in the fall of 2011. Video recordings of the opening plenary sessions is provided on the Vanderbilt School of Engineering website. Videos.
Two New Faculty Join VIEE
posted 2 August 2011VIEE is excited to have two new faculty members join the institute this fall.
-
David Hess, a professor in the Department of Sociology, is joining VIEE from the Science and Technology Studies Program at Rensselaer Polytechnic Institute, where he had taught since 1989. David is interested in the sociology of science, technology, environment, and health; social movements; and public participation and policy. Read Faculty Profile.
-
J.B. Ruhl is the David Daniels Allen Chair in Law at Vanderbilt's Law School. He is joining VIEE from Florida State University College of Law, where he had taught since 1999. J.B.'s research interests include ecosystem services policy; climate change adaptation; endangered species and wetlands protection; complex adaptive systems theory; and adaptive ecosystem management. Read Faculty Profile.
VIEE to Lead AGU Session on Water-Energy-Food Nexus
posted 15 June 2011Session focused on bridging the gap between science and policy
Debra Perrone and George Hornberger will be convening a Public Affairs session at the Fall 2011 American Geophysical Union (AGU) meeting, which will be held in San Francisco from 5-9 December. The AGU meeting is an international conference, bringing together over 18,000 scientists and environmental science policy advocates. The session focuses on the connection between food, water, and energy resources.
Session Abstract: Population 7 billion and growing-Food, water and energy security in a changing climate. The human population of Earth is projected to reach 7 billion within the year and growth is expected to continue. Water, energy and food resources will be stressed increasingly as the climate changes. Population growth and climate change highlight the critical feedbacks among water, energy, and land resource use, especially with regard to food production. Research from many areas must be interpreted, synthesized and extended to bridge the gap between scientists and policy analysts. Forums for initiating interdisciplinary dialog are essential. The proposed session will bring together a variety of researchers to discuss the dimensions of the problems and the policy options for avoiding devastating effects.
R&D Magazine Highlights Work by VIEE Postdoc fellow
posted 14 June 2011Research conducted by Heather Barnes Truelove, a postdoctoral fellow with VIEE, is highlighted in a recent article in R&D Magazine. The article discusses the energy debate and effective tools to communicate energy policies to a range of constituencies. Read the article.
Vanderbilt Yard Study
posted 29 September 2010
Grasses and Gases: Modeling Human Dynamics of Lawn Fertilization and Resultant Nitrous Oxide Emissions
Nitrous oxide emissions arise from household application of nitrogen-containing fertilizer, yet their contributions to US greenhouse gas emissions and the opportunities for low-cost emissions reductions are not well understood. Nitrous oxide is roughly 300 times as potent as carbon dioxide; thus even small quantities of nitrous oxide emissions may constitute a meaningful share of US GHG emissions. Nitrous oxide emissions from this sector have not been the focus of social science research or research into climate change mitigation laws and policies.
This VIEE integrated, interdisciplinary study will examine
- The physical processes that lead to nitrous oxide emissions from household nitrogen-containing fertilizer use
- The types and levels of individual and household activities that affect household nitrous oxide emissions from fertilizer use
- The values, beliefs and norms associated with these individual and household activities
- The communities and social networks associated with these activities.
We seek to understand how the combined knowledge of emissions and behavioral characteristics can be used to effect reductions of nitrous oxide emissions from fertilizer use in the Richland Creek watershed in Nashville. The research team represents a combination of social scientists, hydrologists, and an environmental lawyer. The project will contribute to the development of research and education capacity of the nonprofits and community-based organizations operating in the Richland Creek watershed area in Nashville (particularly the Richland Creek Watershed Alliance and the Cumberland River Compact), other Nashville watersheds, and other urban regions of the United States. The project aims to assist environmental activist groups, homeowners associations, and other organizations to help homeowners make more environmentally friendly lawn care decisions. More about the Nashville Yard Study.
In a new study just out in the Journal of Environmental Psychology, VIEE’s Kaitlin Raimi of Vanderbilt University and Mark Leary of Duke show that on both sides of the fracking debate, those with more extreme views (either in favor of fracking, or against it) have a higher level of "belief superiority," meaning that they think their views are more “correct” than the views held by other people.
"What we show is that when people feel superior about their views on fracking, that people seem to derogate their opponent -- it leads them to become even more certain in their views," says Raimi.
In the study, belief superiority was measured by asking participants to rate, on a scale from 1 to 5, how correct their beliefs were compared with the beliefs held by others. Individuals were asked their views on 10 separate environmental issues (climate change, offshore drilling, fracking, and numerous others), and then about their belief superiority on each of them. Then the study drilled down on the fracking issue in particular, asking the participants -- 96 individual living in Raleigh, North Carolina, where the fracking debate has been heating up -- to read an article about fracking in their state containing language that either supported or opposed the practice.