May 2025 Issue
Computer Simulation of Stock Options Using the Black-Scholes Model
We developed a computer program to simulate the stock option prices from S&P 500 market data by solving the Black-Scholes equation.
Posted by buchanle on Tuesday, July 22nd, 2025 in May 2025, Black-Scholes model, Iterated Crank-Nicolson method, Stock option
Evaluation of Food Insecurity Risk Through Principal Component Analysis: A Case Study in Travis County, Central Texas
This study applies the PCA method to socioeconomic and demographic survey data to examine food insecurity risk at census tract level.
Posted by buchanle on Wednesday, July 16th, 2025 in May 2025, Food Insecurity, Geographic Information Systems (GIS), Principal Component Analysis (PCA), Risk Assessment
Quadrotor PID Control Made Easy
This paper analyzes PID controllers and measures its performance on quadrotor drones.
Posted by buchanle on Thursday, July 3rd, 2025 in May 2025, Dynamics, PID Control, Quadrotor
The Effect of Diaper Biodegradability on Absorbency
Test of five popular diapers on a scale of biodegradability to determine best materials for different aspects of absorbency.
Posted by buchanle on Wednesday, July 2nd, 2025 in May 2025, absorption, biodegradable, disposable diaper, superabsorbent polymer
Think Fast: An Assessment of Cognitive Processing Speed in Relation to Smartphone Proximity
When habituated to distance from one’s smartphone, cognitive processing speed is faster when the smartphone is close to the body and in eyes view.
Posted by buchanle on Thursday, June 26th, 2025 in May 2025, cognitive processing, cyber psychology, smartphone addiction, smartphone proximity
Evaluating the Efficacy of Combined 5-Fluorouracil and Paclitaxel Chemotherapy Relative to Monotherapy in Treating Gastric Cancer
Evaluation of Relative Cell Viability Rates of Mono-therapeutic Treatment Compared with Combination 5FU + Paclitaxel Treatment in MKN-45 Gastric Cancer Cell.
Posted by buchanle on Thursday, June 26th, 2025 in May 2025, 5-Fluorouracil, Cell Viability, Combination Chemotherapy, Paclitaxel
A Comparative Analysis of Cell Specificity and Regional Brain Volumes
A computational approach to find connections and patterns between cell types and neuroimaging traits.
Posted by buchanle on Thursday, June 26th, 2025 in May 2025, Brain regions, Cells, Genes, Genomics, Neuroscience
A Custom Object Detection and Text-To-Speech System for Enhanced User Interaction
This paper examines the integration of object detection and text-to-speech technology to enhance real-time scene recognition for improved accessibility for visually impaired individuals.
Posted by buchanle on Wednesday, June 25th, 2025 in May 2025, Accessibility, Object Detection, Real-Time System, Text-to-Speech, Visually Impaired
Effective Learning of 3D Object Detection Models
Understanding the impact of kernel size, dropout ratios, and convolutional layers on a vision model’s performance.
Posted by buchanle on Wednesday, June 25th, 2025 in May 2025, Computer Vision, Machine learning, Model Optimization, Neural Networks, Object Detection
Exploring Methods of Manipulating and Optimizing the Cell Potential of Zinc-Copper Cells: Anion Effects, pH Variations, and Supplementary Electrolyte Effects
This study explores and models how anion species, pH and supplementary electrolyte concentrations can be manipulated to optimize Zinc-Copper cell potential to promote the use of rechargeable Zinc-Copper batteries in low power industrial contexts amid environmental and social concerns regarding other rechargeable battery models.
Posted by buchanle on Wednesday, June 25th, 2025 in May 2025, Activity Coefficient, Battery, Electrolyte, ion, pH
Optimization of Expression and Purification of an Anti-Inflammatory Binding Motif
This study outlines the development of a protocol for producing codon-optimized Gevokizumab scFv to hinder IL-1β activation, with findings that suggest enhanced protein expression in optimized constructs, which paves the way for potential therapeutic applications in inflammatory diseases.
Posted by buchanle on Wednesday, June 25th, 2025 in May 2025, Gevokizumab, Inflammatory, Osteoarthritis, Protein Expression, scFv
The Caffeine-Cognitive Connection: How Moderate Caffeine Consumption Enhances Working Memory of High Schoolers
This study examines the impact of caffeine on working memory of adolescents.
Posted by buchanle on Wednesday, June 25th, 2025 in May 2025, Adolescents, Caffeine, Cognitive, Digital Span Test, Working Memory
The Intersection of Art and Autism Spectrum Disorder through the Lens of Personal Narratives
Exploring the role of art for individuals on the autism spectrum through in-depth interviews.
Posted by buchanle on Wednesday, June 25th, 2025 in May 2025, art, autism spectrum disorder, social connection, well-being
Targeting EZH2 in Cancer: AI-Driven Pipeline for Drug Discov-ery and Optimization
This study introduces an AI-driven approach that predicts and optimizes EZH2 inhibitors by carefully selecting biologically relevant features, significantly improving the efficiency and accuracy of discovering cancer treatments.
Posted by buchanle on Wednesday, June 25th, 2025 in May 2025, Bioinformatics, Drug Discovery, Epigenetics, EZH2, Machine learning
Analyzing Platform Motion Impacts on Floating Offshore Wind Turbines Using Blade Element Momentum Theory
This research investigates how platform motion affects the aerodynamic performance of floating offshore wind turbines, offering insights to opti-mize energy production and stability.
Posted by buchanle on Wednesday, June 25th, 2025 in May 2025, Blade element momentum theory, Floating wind turbines, Offshore wind energy optimization, Platform motion
A Novel Hybrid Fuel Cell System Which Captures Carbon Dioxide and Generates Electricity
This study presents the design and testing of a hybrid Na-CO₂ system powered by solar energy aimed at capturing CO₂ from the atmosphere and converting it into hydrogen and electricity, contributing to climate change mitigation, and providing sustainable energy solutions.
Posted by buchanle on Wednesday, June 25th, 2025 in May 2025, carbon dioxide capture, direct air capture, fuel cell technology, hydrogen production
Psychological perspectives of the Indian diaspora on social well-being during the COVID-19 pandemic
This article examines the Indian diaspora in the United States during the COVID-19 pandemic, a group that underwent many changes in both the social and psychological aspects of their lives during this time.
Posted by buchanle on Wednesday, June 25th, 2025 in May 2025, Coronavirus, COVID-19, Indian Diaspora, social and behavioral psychology
Block-like Membranes by Spin Coating Ring-Opening Metathesis Polymerization for Polar Solvent Dehydration
This project attempts to use block-like copolymers to create more efficient membranes for ethanol dehydration.
Posted by buchanle on Wednesday, June 25th, 2025 in May 2025, Copolymer, ethanol, membrane, pervaporation, separation
Impact of Covid-19 on the Mental Health of Senior Citizens
The purpose of this study was to explore the heightened mental health challenges and barriers to accessing mental health services faced by senior citizens in St. Mary’s County, Maryland, due to the Covid-19 pandemic.
Posted by buchanle on Wednesday, June 25th, 2025 in May 2025, COVID-19, Mental Health, Senior Citizens
Encapsulating Synthetic STING Agonist, MSA-2, in Endosomolytic Polymersomes for Cancer Immunotherapy
Utilization of STING agonist MSA-2 encapsulated nanocarriers to enhance the immune system’s ability to eliminate cancer cells.
Posted by buchanle on Wednesday, June 25th, 2025 in May 2025, cancer, Flash nanoprecipitation, Immunotherapy, MSA-2, Nanocarrier, STING
The Effects of Vegetation and Depth on the Soil Geochemistry Above Titan Cave in Wyoming
An analysis of the effect depth and two different vegetation types have on the soil geochemistry above a cave to improve paleoclimate analysis from stalagmites.
Posted by buchanle on Wednesday, June 25th, 2025 in May 2025, Cave, Paleoclimate, Soil, Vegetation
Targeting Habitable, Terrestrial Exoplanets: An Empirical Study of Host Star Characteristics and Earth Similarity Index
This study investigates the relationship between host star properties and the detection of terrestrial, potentially habitable exoplanets, emphasizing the greater likelihood of detection around M-dwarf stars.
Posted by buchanle on Wednesday, June 25th, 2025 in May 2025, ESI, Exoplanet Habitability, Planetary Systems
Electrolyte Hydration: Identifying the Most Refreshing Post-Workout Beverages
This study compares the effects of water, electrolyte drinks, and fruit juice on post-exercise hydration, gastrointestinal symptoms, and subjective feelings of refreshment.
Posted by buchanle on Wednesday, June 25th, 2025 in May 2025, Electrolyte, Exercise, Gastrointestinal, Hydration, Sports Drink
Dye-Sensitized Solar Cells: Optimization of Parameters to Maximize Efficiency
This study used natural dyes, titanium dioxide, and a carbon catalyst to optimize the performance of dye-sensitized solar cells.
Posted by buchanle on Tuesday, June 24th, 2025 in May 2025, Anthocyanins, Dye-Sensitized Solar Cells, Efficiency, Solar Energy, Titanium Dioxide
Emotion Recognition from Webcam Video Streams Using Deep Learning
Utilizing ResNet18 to predict emotion from human faces for benefit of persons with neuropsychological disorders such as schizophrenia.
Posted by buchanle on Tuesday, June 24th, 2025 in May 2025, emotion, Facial, Recognition, Training
Digitization of Pathology: Determining Catalyst for Degradation of Kidney through Modern Quantification
Through an in-depth statistical analysis of kidney pathology, it’s revealed that aged kidneys have abnormalities targeted towards vital afferent/efferent pathways, with another lesion being evaluated by an AI model.
Posted by buchanle on Tuesday, June 24th, 2025 in May 2025, Artificial Intelligence, Lesion, Renal, Whole Slide Image
A Comparison of Two Algorithms for the Rubik’s Clock
We compare the 7-Simul and 7-Simul Flip algorithms for solving the Rubik’s clock, showing that they are faster for 74.7% and 25.3% of scrambles, respectively.
Posted by buchanle on Tuesday, June 24th, 2025 in May 2025, 7-Simul, 7-Simul Flip, algorithm, Rubik’s Clock, Rubik’s Cube
ATP6/8 GC Content as a Potential Indicator of Endangerment Risk
The ATP6 and ATP8 GC contents correlate with some IUCN Red List Categories, which may suggest that it can be used as an indicator for the probability that the species could be endangered easily relative to others.
Posted by buchanle on Tuesday, June 24th, 2025 in May 2025, ATPase, endangered, genetics, indicator, IUCN
Innovating Green Energy Generation: On the Development of a Filter for Fossil Fuel Power Plants’ Chimneys to Minimize Emis-sions of Exhaust Gases and Produce Methanol
Electricity-generating fossil-fuel power plants emit dangerous gases into the atmosphere, which this paper aims to minimize through the placement of a filter mechanism in their chimneys.
Posted by buchanle on Friday, June 20th, 2025 in May 2025, carbon capture, fossil fuel power plant, green chemistry, methanol synthesis
Computational Simulations of Bispecific Aptamers Targeting CD16+ Natural Killer Cells and PD-L1+ Cancer Cells
A computational study exploring the design of bispecific aptamers to enhance NK cell-mediated cancer therapy through targeted receptor interactions.
Posted by buchanle on Friday, June 20th, 2025 in May 2025, Aptamer, CAR T-cell Therapy, Molecular Docking, NK Cells
Evolution of Light and Heavy Quarks in Simulated Electron-Proton Collisions
Unique 2-Point Energy Energy Correlator Signatures of Heavy Quarks in Simulated Electron-Proton Collisions
Posted by buchanle on Friday, June 20th, 2025 in May 2025, Electron-Ion, Jets, Proton, simulation
Analysis of the Efficiency of Traffic Control Algorithms on the Vanderbilt Campus
Multiple different traffic algorithms tested using a simulation of an area of road near Vanderbilt’s campus.
Posted by buchanle on Friday, June 20th, 2025 in May 2025, algorithm, Demand Scenario, RESCO benchmark, simulation, Traffic Signal Control
Testing the Bond Strength of RAPID Devices
Testing the bond strength of microfluidic devices, known as RAPID, used for radiotracer synthesis.
Posted by buchanle on Friday, June 20th, 2025 in May 2025, microfluidic, Radiotracer, RAPID
Quantifying Anti-Hemagglutinin Antibodies in Persons Living with Human Immunodeficiency Virus
Analyze anti-hemagglutinin antibody quantities in HIV+ and HIV- participants to determine impact of HIV to the body’s immune response when vaccinated.
Posted by buchanle on Friday, June 20th, 2025 in May 2025, Antibodies, Hemagglutination, HIV, Influenza, Vaccine
Rhythm of Life: Revolutionizing cardiac diagnostics with AI-driven lub-dub analysis
This study leverages machine learning algorithms to analyze "lub-dub" heart sounds from digital stethoscopes, achieving 98% accuracy in detecting abnormal heartbeat-related heart diseases, offering a breakthrough in non-invasive cardiac diagnostics.
Posted by buchanle on Friday, June 20th, 2025 in May 2025, CVDs, Heart sounds, LSTM, Machine learning, MFCC
Modeling Price Sensitivity and Future Cost of Private Scale Solar Energy Installations due to Projected Prices of Critical Materials
The future price of a 5 kW solar array is predicted as a function of the rising cost of critical materials.
Posted by buchanle on Friday, June 20th, 2025 in May 2025, Price Projection, Rare Materials, renewable energy, Solar Energy
Analyzing the Effects of Mutations on the Binding Abilities of Drugs in Multidrug-Resistant Tuberculosis (MDR-TB) Using Computational Simulations
Using AlphaFold protein structure construction and HADDOCK ligand docking, I identified two novel drug resistance mutations in MDR-TB.
Posted by buchanle on Friday, June 20th, 2025 in May 2025, Drug Resistance, MDR-TB, Molecular Docking, Protein Folding
A Comparative Analysis of Low-parameter CNN Performance on Malaria Detection from Blood Smear Microscopy
Training lightweight convolutional neural networks to detect malaria from blood smear microscopy to assist medical professionals in diagnosis.
Posted by buchanle on Friday, June 20th, 2025 in May 2025, Artificial Intelligence, convolutional neural networks, Machine learning, Malaria
Three-dimensional Manipulation of Hydrogel Microparticles by Positional Change of Light Focus in Stop Flow Lithography
This study proposes a novel technique by which the position of light focus can be adjusted in Stop Flow Lithography to manipulate the three-dimensional shape of hydrogel microparticles and disproves the assumption of instantaneous uniform distribution of light through the flow channel of the lithography device.
Posted by buchanle on Friday, June 20th, 2025 in May 2025, Biomedical Applications, Hydrogels, Polymers
The Impact of Prompt Engineering on GPT-4’s Mathematical Reasoning
This study uses different methods of prompting to improve large language models’ mathematical reasoning
Posted by buchanle on Friday, June 20th, 2025 in May 2025, Artificial Intelligence, Large Language Model, Mathematical Reasoning
Reprogramming adult mammalian Müller glia via L-Myc ex vivo
Transfection of Müller glial retinal cells with transcription factor L-Myc causes reprogramming and proliferation.
Posted by buchanle on Friday, June 20th, 2025 in May 2025, L-Myc, Müller glia, Proliferation, Reprogramming, Retinal Regeneration
A Microfluidic Blood Brain Barrier Chip Model for Studying the Effects of VEGF on Brain Endothelial Cells (HCMEC/D3)
Creating a microfluidic device to test and see if endothelial cells can create tube-like structures within the device.
Posted by buchanle on Thursday, June 19th, 2025 in May 2025, Alzheimer’s, brain, Cells, diabetes, microfluidic, VEGF
Investigating Bioactive Molecule Function from Novel Machine Learning Guided Discovery
Utilizing machine-learning guided algorithm to discover bioactive molecule functions.
Posted by buchanle on Thursday, June 19th, 2025 in May 2025, algorithm, Bioactivity, Machine
Application of Machine Learning and Deep Learning in Brain tumor detection in MRI scans – Comparison and Analysis of different models
Comparison and analysis of different Machine Learning and Deep Learning models for detection of Brain tumors in MRI scans.
Posted by buchanle on Thursday, June 19th, 2025 in May 2025, Brain tumors, Deep Learning (DL), Machine Learning (ML), Neural Networks
Exploring Clinician Confidence of Different Developmental Profiles While Using TAP-P
This project is to show clinicians' certainty in their diagnostic impression will vary based on the developmental profile of each child.
Posted by buchanle on Thursday, June 19th, 2025 in May 2025, Autism Spectrum Disorder (ASD), Developmental Profile, Restrictive Repetitive Behaviors (RRBs), TELE-ASD-PEDS-Preschool (Telehealth Autism Spectrum Disorder Pediatrics- Preschool: TAP-P), Tele-assessment
Enhancing AAC Systems Through Artificial Intelligence: Parent and Family Perspective on Limitations and Solutions
This paper explores the potential of Artificial Intelligence in improving AAC systems, based on insights from parents and family members of indi-viduals with complex communication needs.
Posted by buchanle on Thursday, June 19th, 2025 in May 2025, AAC and AI, AAC limitations, Augmentative and Alternative Communication, Special Education
Investigating heat shock protein dysregulation and immune cell dynamics in non-alcoholic steatohepatitis by integrated multi-RNA seq analysis
This study identifies heat shock protein dysregulation and changes in immune cell composition in NASH through RNA-seq analysis of multiple datasets.
Posted by buchanle on Thursday, June 19th, 2025 in May 2025, heat shock protein, Liver, NASH, RNA-seq
A Proposal for Optimal Emergency Vehicle Routing using Quantum Annealing
Quantum Binary Quadratic Models can be used to optimize traffic routing under multiple real-time constraints. When used in conjunction with Dijkstra’s Algorithm, they could be a powerful means to efficiently route emergency vehicles, even in densely populated cities.
Posted by buchanle on Thursday, June 19th, 2025 in May 2025, Binary Quadratic Model, Dijkstra’s Algorithm, Quantum Annealing, Quantum Processing, Routing Algorithm
Cognitive, Genetic, and Lifestyle Synergy: A Machine Learning Approach to Alzheimer’s Diagnosis
This study employs a multidisciplinary approach, integrating machine learning techniques, gene expression analysis, clinical assessments, and lifestyle data to uncover potential biomarkers and therapeutic targets for Alzheimer's disease
Posted by buchanle on Thursday, June 19th, 2025 in May 2025, Alzheimer’s Disease, Cognitive Scores, Diagnosis, Gene Expression, Machine learning
A novel ensemble learning approach to improve wind prediction
Various ensemble algorithms improve wind speed forecasts over existing numerical models.
Posted by buchanle on Thursday, June 19th, 2025 in May 2025, ensemble algorithms, numerical models, Wind forecast
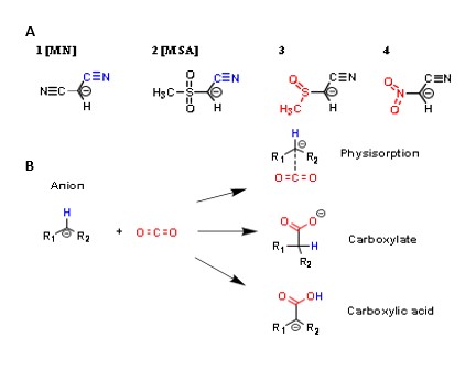
Investigation of Reaction Thermodynamics Between Carbanion and Carbon Dioxide for Carbon Capture
An investigation into the thermodynamic efficiency of four carbanions reacting with carbon dioxide through a comparison of enthalpies.
Posted by buchanle on Thursday, June 19th, 2025 in May 2025, Carbanion, Carbon, CO2, Thermodynamics